Are you a musician looking to protect your rights and ensure fair treatment in your collaborations? One essential tool to have in your arsenal is a musician contract template. This document can help outline the terms of your agreement and prevent any misunderstandings down the road.
Whether you’re a solo artist, part of a band, or working with a producer, having a contract in place is crucial. It can cover important details like payment terms, copyright ownership, performance expectations, and more. By clearly outlining these factors, you can avoid potential conflicts and focus on making music.

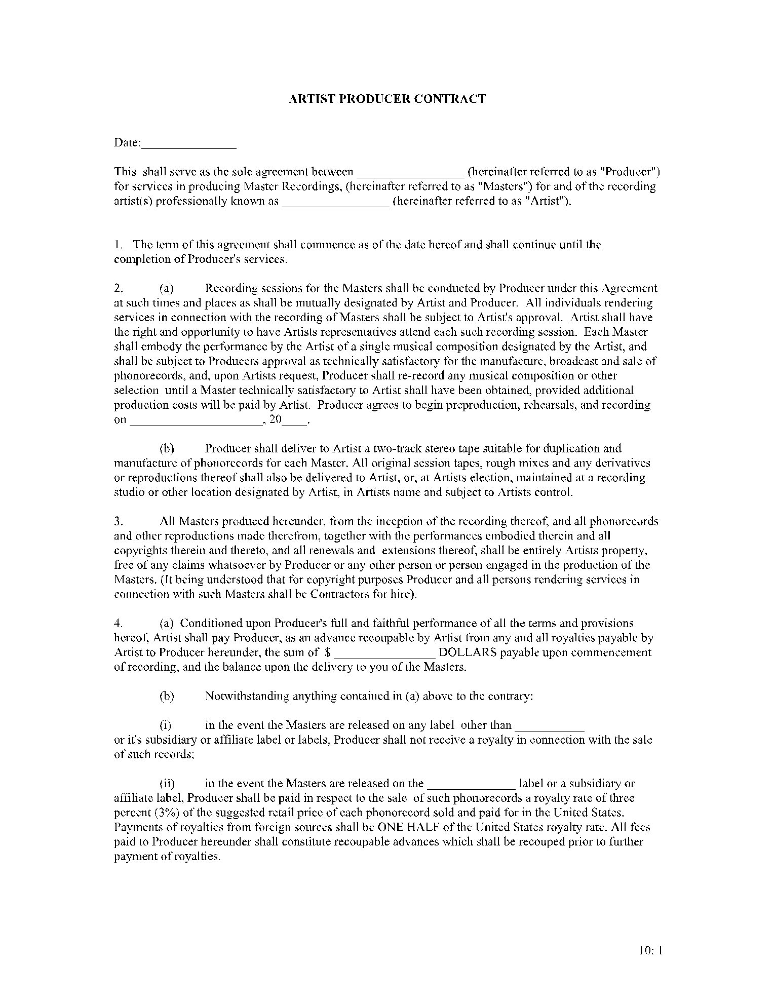
musician contract template
Why Use a Musician Contract Template?
Using a musician contract template provides a solid foundation for your professional relationships. It sets expectations, protects both parties, and ensures that everyone is on the same page. Plus, having a written agreement can give you peace of mind and allow you to focus on your creative process.
With a contract in place, you can rest assured that your rights are protected and that you have a legal recourse in case of any disputes. It’s a small investment that can save you a lot of time, money, and headaches in the long run. Don’t wait until it’s too late to secure your interests.
Whether you’re just starting out in the music industry or have been around for a while, using a musician contract template is a smart move. It can help you navigate the complex world of music business and ensure that you’re treated fairly in all your endeavors. So, don’t hesitate to take this important step towards protecting your musical career.

Customizable Church Musician Contract Template Editable Church Choir Agreement Instant Download Worship Music Director Employment Form Etsy

Musician Contract Customizable Musician Collaboration Form Template Printable Gig Contract Partnership Agreement Editable In Canva Etsy

Session Musician Work For Hire Contract Template

Professional Band Contract Template Customizable Musicians Agreement For Gigs And Events Legal Music Performance Contract Form Etsy

Musician Contract Template Word PDF Free Trial